
La rete di disinformazione russa che ha tentato di screditare Javier Milei infiltrandosi nei media argentini
Il presidente argentino è stato attaccato per le sue posizioni filo-occidentali e pro-ucraine
Javier Milei è stato eletto presidente dell’Argentina a novembre del 2023. Come riportava all’epoca Associated Press, il politico ultraliberista e di estrema destra autoproclamatosi “anarchico-capitalista” si era presentato alle elezioni come un outsider in lotta contro quella che definiva una corruzione radicata nelle istituzioni argentine e con una politica estera filo-occidentale con posizioni di sfiducia nei confronti di Mosca e Pechino.
Dopo la sua vittoria, il presidente ucraiano Volodymyr Zelensky aveva telefonato a Milei ringraziandolo per il suo «chiaro sostegno all’Ucraina», invasa a febbraio dell’anno precedente dalla Russia. Nel riportare i contenuti della telefonata, l’ufficio di Milei aveva affermato che il neo presidente argentino si era anche offerto di ospitare un vertice tra l’Ucraina e gli Stati latinoamericani, favorendo quindi gli sforzi che Kiev in quei mesi stava compiendo per rafforzare le sue relazioni politiche e alleanze con i Paesi del Sud globale.
Per questa posizione filo-occidentale e a sostegno dell’Ucraina, si scopre ora che Javier Milei è finito nel mirino di una rete di influenza russa, nota internamente come “The Company” e appoggiata dall’intelligence estera russa, che per per diversi mesi del 2024 ha lavorato in Argentina per screditare mediaticamente il presidente Milei ed esasperare le divisioni interne presenti nella società argentina, anche con l’utilizzo di notizie false.
🔴 🇷🇺#PropagandaMachine 6 – Ghost Journalists, Cash and Kremlin Scripts: How Russian Operatives Tried To Influence Argentinian Media
➡️ Thanks to an unprecedented data leak obtained by @thecontinent_, today, we are able to reveal that “The Company”, a network run by Russia’s… pic.twitter.com/SIlvIbBFxf
— Forbidden Stories (@FbdnStories) April 2, 2026
È quanto emerge da oltre mille pagine di documenti riservati in lingua russa ottenuti da The Continent, una testata sudafricana, e condivisi con un consorzio di redazioni investigative in più Paesi tra cui Forbidden Stories (Francia), Filtraleaks (Argentina) e openDemocracy (Regno Unito), che li hanno analizzati e verificati in maniera indipendente.
“The Company” e il Sud globale
Dentro questi documenti sono presenti piani strategici, rapporti operativi, registri contabili e riepiloghi di campagne di disinformazione e anti-ucraine condotte tra gennaio e novembre 2024 dalla rete “The Company” in oltre 30 Paesi tra Sud America e Africa. Secondo quanto riportato nei documenti trapelati, il budget per 10 mesi di lavoro ammontava a quasi 7,3 milioni di dollari (i giornalisti non sono però riusciti a verificare in maniera indipendente questa cifra).
Inizialmente “The Company” era gestita da Yevgeny Prigozhin, defunto oligarca russo e fondatore del gruppo mercenario Wagner che ha avuto un ruolo di primo piano nelle operazioni di propaganda russe, come ricostruito più volte su Facta. Prigozhin, morto nel 2023 nello schianto del suo aereo pochi mesi dopo essersi ribellato a Putin, è stato legato anche all’Internet Research Agency (IRA), azienda russa fondata nel 2013 e impegnata in operazioni di propaganda online per conto di aziende russe e per gli interessi politici del Cremlino.
Come racconta Forbidden Stories, dall’analisi di questa mole di documenti emerge che il metodo utilizzato dalla rete è ben collaudato e prevede la stessa dinamica sequenza per ogni Paese preso di mira per portare avanti gli interessi strategici del Cremlino: «Dopo la fase preparatoria – che comprende indagini, mappatura degli attori, avvicinamento a figure politiche di alto livello e infiltrazione graduale tra i leader d’opinione – è possibile avviare operazioni di destabilizzazione, amplificate dai media locali». Ed è proprio quanto è accaduto in Argentina.
Come la rete ha agito in Argentina
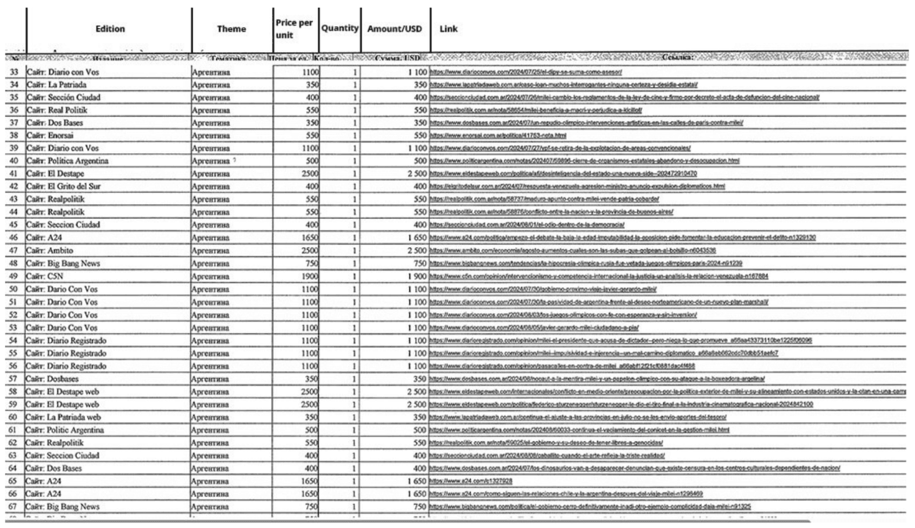
Nei documenti visionati si afferma che da giugno a ottobre 2024 sono stati pubblicati 250 articoli su oltre 20 testate argentine, con portata di pubblico e linea editoriale diversificate. Lo scopo di questi articoli era influenzare l’opinione pubblica del Paese principalmente su tre questioni: danneggiare la reputazione di Milei, alimentare le tensioni tra Cile e Argentina e scoraggiare il sostegno militare all’Ucraina.
Nei documenti si legge che per questa operazione “The Company” avrebbe utilizzato 280mila dollari, uno dei budget di propaganda digitale più elevati utilizzati dalla rete. Nei documenti vengono anche menzionati non meno di cinquanta account sui social media appartenenti a influencer e media digitali, e quattro pagamenti di 4mila dollari sotto la voce «trasmissione sulla TV argentina».

L’inchiesta spiega che nei documenti trepelati non viene specificato chi sia stato contattato, come sia avvenuto il contatto, né a chi, all’interno della testata, sarebbero stati presumibilmente destinati i pagamenti per la pubblicazione dell’articolo. Forbidden Stories, openDemocracy e Filtraleaks hanno contattato tutte le testate presenti in questo elenco, riuscendo a intervistare diversi dipendenti di 15 di esse.
Il team investigativo scrive che molte delle persone contattate hanno chiesto di rimanere anonime e che «tutti hanno negato di aver ricevuto finanziamenti da cittadini russi o di essere stati contattati da agenti russi o da “The Company”». Filtraleaks racconta che, interrogati sull’origine degli articoli, i giornalisti hanno risposto «quasi senza eccezione di non conoscere gli autori e che gli articoli erano stati offerti gratuitamente da una terza parte, descritta come “consulente”, “agenzia”, ”addetto stampa” o “intermediario”: una pratica comune nei media digitali». Diversi di loro hanno anche ammesso che gli articoli erano stati pubblicati senza un’adeguata supervisione editoriale.
Due fonti interpellate hanno invece dichiarato di aver ricevuto un compenso da terzi per la pubblicazione degli articoli in questione, specificando però che l’importo era molto inferiore rispetto a quanto riportato nei documenti. Nel conoscere le cifre indicate nei documenti che sarebbero state pagate per la pubblicazione degli articoli, gli intervistati si sono sorpresi, –riporta il consorzio giornalistico che ha condotto l’indagine – perché nel mondo editoriale argentino non è prassi ricevere somme così elevate. Nei documenti, infatti, si legge che la rete d’influenza russa avrebbe pagato fino a 3100 dollari per un singolo articolo, quando nel Paese la retribuzione media dei giornalisti non supera i 700 dollari. Chi ha dichiarato di aver ricevuto denaro ha specificato di essere stato contattato da un gruppo di presunti «uomini d’affari» preoccupati per l’economia argentina o irritati dalle politiche portate avanti del governo Milei. L’inchiesta non è però riuscita a risalire all’identità di queste persone.
openDemocracy spiega che le interviste condotte hanno rivelato «che l’operazione di disinformazione russa in Argentina ha sfruttato una pratica globale sempre più diffusa: le agenzie di pubbliche relazioni offrono contenuti gratuiti o a pagamento a redazioni con risorse limitate per dare visibilità ai propri clienti». Interrogato sulla vicenda sempre da openDemocracy, Martín Becerra, esperto argentino di media e ricercatore del Consiglio nazionale per la ricerca scientifica e tecnica, ha spiegato che «la crescente precarietà dei media e l’eccessivo allentamento della supervisione editoriale» finiscono per creare «un ambiente favorevole alle campagne di disinformazione e alle operazioni manipolative di ogni genere».
Molti degli articoli di opinione pubblicati erano anonimi, mentre quelli firmati avevano nomi sconosciuti o falsi. Ad esempio tra le firme degli autori citati compare il nome di «Manuel Godsin» che si presentava come un «commentatore indipendente» con un dottorato di ricerca presso l’università norvegese di Bergen. Come svelato però da un’inchiesta giornalistica dell’African Digital Democracy Observatory (ADDO), «Manuel Godsin» era in realtà un account falso, utilizzato in precedenza per diffondere propaganda russa in diversi Paesi africani.
Un altro nome fittizio utilizzato nell’operazione di influenza è quello di «Gabriel di Taranto», descritto come un opinionista con un master in comunicazione politica presso l’Universidad Nacional de Avellaneda in Argentina. Come ricostruito dai giornalisti investigativi del consorzio, però, l’università in questione non offre un master in comunicazione politica e, in base a quanto dichiarato dallo stesso istituto, una persona con quel nome non è mai risultata iscritta. Anche la foto di «Gabriel di Taranto» utilizzata nel profilo autore negli articoli di “The Company” era un falso generato con l’intelligenza artificiale. Un modello simile emerge con le firme di «Juan Carlos López» e «Marcelo Lopreiatto».

Oltre ad articoli di opinione, l’operazione ha diffuso anche vere e proprie notizie false contro il governo Milei. Ad esempio ad agosto 2024 in una delle testate argentine citate nei documenti era stato pubblicato un articolo (ora non più disponibile, ma visibile in questa copia cache) in cui si riportava la storia che il presidente argentino fosse segretamente coinvolto in una presunta operazione di sabotaggio del gasdotto transandino cileno. La notizia però era del tutto inventata e priva di qualsiasi riscontro reale. Nei documenti trapelati si legge che l’obiettivo della bufala era quello di «creare tensione tra Argentina e Cile». In un altro caso, gli agenti russi hanno scritto di voler elaborare una storia falsa sul presidente argentino e i suoi cani clonati: «Obiettivo e descrizione: diffondere una notizia su Milei che acquista negli Stati Uniti cinque collari per cani Cartier del valore di 64.000 dollari». Questa storia inventata è successivamente apparsa su un sito di notizie della Repubblica Dominicana e su un profilo Instagram in spagnolo con oltre 1 milione di follower. In altri casi sono stati diffusi contenuti anti-ucraini per cercare di incrinare a livello mediatico il sostegno politico dell’Argentina a Kiev.
La scoperta dell’operazione d’influenza da parte delle autorità argentine
Nel corso di una conferenza del 18 giugno 2025, il portavoce del governo argentino Manuel Adorni dichiarò che un’indagine dell’intelligence aveva «scoperto l’esistenza di un’entità legata al governo russo, denominata “The Company”» con l’obiettivo di «sviluppare campagne di disinformazione e influenza contro lo Stato argentino. I suoi compiti includono la creazione e la diffusione di contenuti sui social media, l’influenza su organizzazioni civili, fondazioni e ONG locali, la conduzione di focus group con cittadini argentini e la raccolta di informazioni politiche da utilizzare a favore degli interessi russi».
Sentita da Filtraleaks, la senatrice argentina Patricia Bullrich, che ha ricoperto la carica di ministro della Sicurezza dal 2023 al dicembre 2025, ha dichiarato di essere stata avvertita delle attività di disinformazione russe già a metà del 2025 dall’allora Segretaria alla Sicurezza Interna degli Stati Uniti, Kristi Noem. In quell’occasione Noem non aveva menzionato specificamente “The Company”, ma aveva parlato di pagamenti effettuati a organi di stampa e giornalisti argentini. Secondo le fonti consultate dal consorzio giornalistico, la rete di influenza russa ha terminato le sue attività in Argentina a novembre 2025.
Lo scorso 3 aprile il presidente Milei su X ha scritto che quanto emerso dall’inchiesta giornalistica congiunta è «di una gravità istituzionale poche volte vista nella storia», commentando la denuncia presentata alla Giustizia federale contro presunte operazioni di disinformazione finanziate dalla Russia in Argentina. Dal canto suo l’ambasciata russa in Argentina ha definito il lavoro giornalistico «materiale anti-russo» e affermato che non fornisce fatti o prove a sostegno di quanto riportato.
- No, la Russia non ha stanziato 150 milioni di euro per la Sicilia colpita dal ciclone HarryNo, la Russia non ha stanziato 150 milioni di euro per la Sicilia colpita dal ciclone Harry
- La Russia vuole davvero vietare Harry Potter?
La Russia vuole davvero vietare Harry Potter?

